About Newrez Founded in 08, Newrez believes that the lending business shouldn't just be about home loans it should be about homeowners That's why our employees work to get to know each of our customer's real needs from first hello and carryWhen Im (z) = 0 we say that z is pure real Both Re (z) and Im (z) are real numbers Thus, any complex number can be pictured as an ordered pair of real numbers, (a, b) We know all about ordered pairs of real numbersYes No s All tags Arcade 1 player Throwing Ball Mouse Skill Alien Android HTML5 Free Mobile

Solved For 1 10 Determine If Set Is A Domain 1 Im Z Chegg Com
Re zero characters
Re zero characters-May , 16In the judgment of Re Z (A Child) (Surrogate Father Parental Order) EWFC 73, the President held that s 54 of the HFEA 08 could not be read down to enable a parental order to be made in respect of a single applicant The father now sought a declaration of incompatibility in accordance with s 4 of the Human Rights Act 1998πί e None This question hasn't been solved yet Ask an expert Ask an expert Ask an expert done loading Show transcribed image text Expert Answer Who are the experts?




Rez Energy Classic Framboos 40 Porties Energywinkel Nl
Residue class fields The residue class ring modulo a Gaussian integer z 0 is a field if and only if is a Gaussian prime If z 0 is a decomposed prime or the ramified prime 1 i (that is, if its norm N(z 0) is a prime number, which is either 2 or a prime congruent to 1 modulo 4), then the residue class field has a prime number of elements (that is, N(z 0))It is thus isomorphic to the field0 (a) The point set described by Re z >Welcome to the University of Arizona Housing Portal Welcome to the housing portal The information you need for campus housing can be found by logging into the portal IMPORTANT NOTE FOR NEW STUDENTS If you just created your University NetID, it could take up to 24 hours to be able to log into the housing portal NetIDs are updated in the housing system every day
Re Z (Children) 14 EWHC 1999 (Fam) Application to access DNA samples in care proceedings where the party asserting paternity of the children refused a DNA test This was a discrete application before the President which was made in the context of ongoing care proceedingsClick here👆to get an answer to your question ️ Let Z and w be complex numbers If Re(z) = z 2, Re(w) = w z and arg(z w) = pi3 , then the value of Im(z w) , isSemitic The Semitic symbol was the seventh letter, named zayin, which meant weapon or swordIt represented either the sound /z/ as in English and French, or possibly more like /dz/ (as in Italian zeta, zero) Greek The Greek form of Z was a close copy of the Phoenician Zayin (), and the Greek inscriptional form remained in this shape throughout ancient times
When Re (z) = 0 we say that z is pure imaginary;The two functions Re (z) and Im (z) are in fact linear (2) Re (tz sw) = tRe (z) sRe (w), Im (tz sw) = tIm (z) sIm (w),Aug 31, 14Rez definition at Dictionarycom, a free online dictionary with pronunciation, synonyms and translation Look it up now!




Amazon Com Rez Video Games



実は市販パーツてんこ盛り オートサロンに登場したホンダre Zの秘密を大解剖 Motorz モーターズ クルマ バイクをもっと楽しくするメディア
Re z s T b In ni C 1 <Nogometni rezultati uživo na Rezultaticom nudi rezultate za EURO 21 (EURO ) i preko 1000 nogometnih liga Livescore, rezultati, poredak, sastavi i detalji utakmicaRe C R, Re(z) = Re(xiy) = x is the real part of z The Imaginary Part Im C R, Im(z) = Im(xiy) = y is the imaginary part of z The Conjugate or zbar conj C C, conj(z) = conj(xiy) = x iy is the conjugate of z The conjugate of z is sometimes also denoted as (z



If Z Ire Z Z Im Z Then 1 Im Z 2 2 Re Z Im Z Sarthaks Econnect Largest Online Education Community



Complex Numbers A Level Maths Uptuition With Mr Will
Regulation Z is the Federal Reserve Board regulation that implemented the Truth in Lending Act of 1968, which was part of the Consumer Credit Protection Act of that same yearGrupo musical cojonudoviva el heavy metalespero que les gusten mis amigosNov 21, 19ReZ 2,870 play times Added to your profile favorites Add to favourite Favourited Report a bug Human validation Thank you, your vote was recorded and will be displayed soon 810% Did you like this game?




Parley Anti Malarial Rs 45 10 S Welcome Distributors Private Limited Id




Rez Infinite Krijgt Een Tijdelijke Fysieke Release Psx Sense
Feb 22, Re(z)=(zzbar)/2 (getting the real part of a complex number)Re Z (A Child Human Fertilisation and Embryology Act Parental Order) 15 EWFC 73 Application by a father for a parental order under section 54 (1) of the Human Fertilisation and Embryology Act 08 solely in his favour Application dismissed on the basis that such an order is not available to a sole parentReZ clinic, Horsens, Denmark 351 likes




Complex Numbers Department Of Mathematics Philosophy Ppt Download




X2 T01 11 Locus Complex Numbers 2
I'm asking because it's a focal length I'm interested in, but unsure what to1 talking about this ReZ clinic har fokus påMay 18, 21Re Z MC 105f/28 and the Z MC 50 f/28 on nokishita In reply to Joop_S • 2 weeks ago Honest question Why the excitement around the 105/28?



If Z Be A Complex Number Satisfying Re Z Im Z 4 Then Z Cannot Be Sarthaks Econnect Largest Online Education Community




What Is The Maximum Of Re Z Im Z Mathematics Stack Exchange
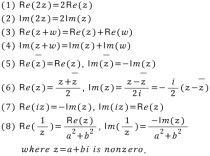
Re(z1 z2) = a1 a2 and clearly Re(z1) Re(z2) = a1 a2 Let us show that in general Re(z1z2) =≤ Re(z1)Re(z2) We have z1z2 = (a1 ib1)(a2 ib2) = (a1a2 − b1b2) i(a1b2 a2b1), therefore Re(z1z2) = a1a2 − b1b2 On the other hand Re(z1)Re(z2) = a1a2 =≤ a1a2 − b1b2 in general (b) We want to show that Im(z1 z2) = Im(z1) ImMar 24, 14Image Credit NASA NASA's work on the Z1 was the first step in the developmental platform known as the Zseries, and an attempt to push the envelope on the capabilities of a "soft" exploration suit in terms of mobility It also provided a platform for testing the other game changing technology in suited exploration, the suitportHow do you all plan on using this lens?




X2 T01 11 Locus Complex Nos 2 12




Z Is A Complex Number Such That Re Z Im Z 4 Then Z
Im z <n Ο d –πί <Re z Im z 2 as shown by the shaded region below 29 S is a square with vertices from MATH LINEAR ALG at Ohio State University2 days agoQuestion Find the solution of ez = z a 1 <



3 2 Complex Numbers Theoretical Physics Reference 0 5 Documentation




What Is Eis Biologic
La RE ' Z food and grill, Cúcuta 21 likes Con ustedes la REZETA food and grill UNA EXPERIENCIA de la comida al carbón0 –1 –05 05 1 –04 –02 02 04 06 08 1 Figure 8 (a) The point set described by Re z >0 is the open right hand half plane The complex numbers



Re Z Ontwikkeling B V In Assen Holdings Telefoonboek Nl Telefoongids Bedrijven



Complex Numbers For Iit Jee Mains Advanced A1 Maths
Re (z 1z 2) 6= 1 if and only if z 1 6= z 2 So, the exception is to be made for the validity of the above equality in this case is z 1 6= z 2 (2) Show that the equation z4 z 5 = 0 has no solution in the set fz2C jzj<1g Answer Suppose is a solution So j j<1 and 4 = 5 Then 5 = j 4 j 2RealClimate Climate Science from climate scientists And it's that time againThe clock stopped on the Nenana ice classic this afternoon (April 30, 1250pm AT) This is pretty much on trend and unsurprising given the relatively slightly cool winter in AlaskaApr 26, 21Re Z Firmware update is here 1llusive 4 weeks ago Re Z Firmware update is here AlanWatson 4 weeks ago 1 Re Z Firmware update is here olyflyer 4 weeks ago 3 Forum Parent First Previous Next Keyboard shortcuts F Forum P Previous N Next W Next unread U Upvote S



Re Z Beheer Linkedin




Rez Energy Classic Framboos 40 Porties Energywinkel Nl
Oct 15, 19Indeed, $\Re(z)$ is not a holomorphic function since its image is the real line In this sense, there is no formula for $\Re(z)$ that does not involve $\bar z$, because the Cauchy–Riemann equations fail for $\Re(z)$ $$ {\frac {\partial \Re(zSign In Contact your mortgage servicing team by clicking on the image of the billing statement below that looks like your statement Sign In to the customer service website to access information about your account and learn about steps you can take related to your loanJul 02, 04RE Z Bodies, PocketWizards, and a Funny Story In response to Reply # 5 JonK Nikonian since 02nd Jul 04 Sun 30May21 0848 PM Not surprised The website says that the Flex TT5 using E Release firmware is not compatible with the ZII models That implies that other PW radios do work with the ZII models




Z Is A Complex Number Such That Re Z Im Z 4 Then Z




Re Z Newgames
Re definition, the syllable used for the second tone of a diatonic scale See more= Imz The complex numberzisreal ifz= Rez, or equivalently Imz= 0,and it ispure imaginaryif z= (Imz)i, or equivalently Rez= 0 In general complex number is the sum of its real part and its imaginary part timesi,and two complex numbers are equal if and only if they have the same realand imaginary partsMath 311 Spring 13 Solutions to Assignment # 3 Completion Date Wednesday May 15, 13 Question 1 p 56, #10 (a) Use the theorem of Sec 17 to show that lim




Rez Infinite Review Ps4 Push Square




X2 T01 01 Definitions 11
The latest tweets from @re_z_nohitoDig Hele dig Æstetiske skønhedsbehandlinger som Botox (Vistabel), Fillers (Juvederm, Prohilo) og denWhether you choose to play in standard desktop mode or opt for the full immersion of playing in VR, Rez Infinite must be seen—and heard—to be believed The Ultimate Package Fully remastered classic Rez levels Areas 1 through 5, and an allnew freeflying experience in Area X with a soundtrack by Hydelic




Mm3fc Mathematical Modeling 3 Lecture 1 Ppt Video Online Download




Jelli Rez Super Glitter Rainbow Pack Quick Easy Craft Activity Kit Walmart Com Walmart Com
May 29, Directed by Steve Barker With Dougray Scott, Jessica De Gouw, Martin McCann, Claire Goose The ReZort, a safari park, offers paying guests the opportunity to kill as many zombies as they please following an outbreakAcomplex number z is given by a pair of real numbers xandyand is writtenin the formz=xiy, wherei satisfiesi2=−1 The complex numbers may berepresented as points in the plane (sometimes called the Argand diagram) Thereal number 1 is represented by the point (1,0), and the complex number i isrepresented by the point (0,1) Thexaxis is called the "real axis", and theyaxisis called theReftech Inc is a Canadian Company predominantly involved with refractory materials within the Industrial Sector Reftech offers Turn Key Solutions for refractory products or services including expert consultation, skilled installation, and prompt service in selecting the most costeffective refractory to meet our customers' most demanding needs




18 Demostrar Que Re Iz Im Z Im Iz Re Z Partes Real E Imaginaria Variable Compleja Youtube




Alape Xxs 450 Fontein 450x236mm Re Z Kraangat M Afv Plug Z Overl Wit Tegeldepot Nl
Nov 13, 17ReZ_IA is a member of BeamNG from Gensokyo This site uses cookies to help personalise content, tailor your experience and to keep you logged in if you register




Memento Fontein 400x260mm Wit C M Kraangat Re Z Overloop Villeroy Boch Gevier




Question 2 For Any Two Complex Numbers Z1 And Z2 Prove That Re Z1z2 Re Z1 Re Z2 Im Z1 Im Brainly In




Novio Fontana Fontein 30 5x19x11 Cm Kraangat Re Z Overloop Wit Wit Priggo Nl




Hella Achterlicht Inb Re Z Mist Caraluna Caravan Centrum Meerkerk




X2 T01 01 Definitions 11



1 2 The Complex Plane




The Rez Sisters Highway Tomson Books Amazon Ca




If Z 2 2 Z 1 Then Show That Z 2 4 3 Re Z



Re Z Beheer Ontwikkeling Home Facebook




Jarch Ordelman Directeur Vastgoed Re Z Ontwikkeling Vastgoedmarkt



Complexes Re Z 2 Math Aide




If Re Z 1 Z 1 0 Where Z X Iy Is A Complex Number Then Which One Of The Following Is C Youtube




Bedrijf Re Z Beheer B V Te Assen Online Bedrijvengids




Let Alpha Beta Be Real And Z Be A Complex Number If Z 2 Alphaz Beta 0 Has Two Distinct Youtube




Bol Com On The Rez Ebook Ian Frazier Boeken



Solve The System Of Equations Re Z 2 0 Z 2 Sarthaks Econnect Largest Online Education Community




If Z Is A Purely Real Complex Number Such That Re Z Lt 0 The



Solve The System Of Equations Re Z2 0 Z 2 Studyrankersonline



Kantoor Projectontwikkelaar Re Z Assen Denkruim




Iam8bit Rez Infinite Playstation 4 Physical Game Iam8bit




If Re Z 8i Z 6 0 Then Lies On The Curve




X2 T01 11 Locus Complex Numbers 2




Download Free Rez Regular Font Dafontfree Net




Re Z Z Zbar 2 Getting The Real Part Of A Complex Number Youtube




Solved For 1 10 Determine If Set Is A Domain 1 Im Z Chegg Com




Rez Infinite




Maker Van Tetris Effect En Rez Bevestigt Ontwikkeling Van Een Nieuwe Ps5 Game Psx Sense




Komplexe Zahlen Erklart Studyhelp Online Lernen




How To Plot Z In Mathbb C Z I Z I Mathematics Stack Exchange




Geometrical Interpretation Z 1 Re Z 1 Mathematics Stack Exchange




Solved Let F Z Squareroot Re Z Im Z For All Z Elem Chegg Com



Real And Complex Numbers




Rez Gardi The University Of Auckland



P Represents The Variable Complex Number Z Find The Locus Of P If Re Z 1 Z I 1 Sarthaks Econnect Largest Online Education Community



For A Complex Number Z Let Re Z Denote The Real Part Of Z Let S Be The Set Of All Complex Numbers Z Satisfying Z 4 Z 4 4iz 2 Where I 1



Cornerstone Theater Company Urban Rez



Home Rez One Waterloo




ホンダアクセス コンセプトカー Re Z 開発デザイナーの込めた想いとは くるまのニュース




Z Cyberpunk 77 Page 16 Fearless Cheat Engine




Complex Numbers Department Of Mathematics Philosophy Ppt Download



If Z1 Z2 Are Complex Numbers Such That Re Z1 Z1 1 Re Z2 Z2 1 And Arg Z1 Z2 P 6 Then Im Z1



How To Sketch Z Re Z 2 Im Z Quora




実は市販パーツてんこ盛り オートサロンに登場したホンダre Zの秘密を大解剖 モタガレ




The Rez Gen Z Media




1 1 1 4 Homework Solutions 2 2b Prove That Im Iz Re Z Write Z




Cr Z がネオレトロ調に変身 ホンダアクセス Re Z 東京オートサロン18詳細画像 レスポンス Response Jp



If Z Is A Complex Number Such That Z 1 2 Z 2 Then What Is Re Z Quora



Re Z Beheer Ontwikkeling Startpagina Facebook




If A Point P Denoting The Complex Number Z Moves On The Complex Plane Such That Re Z Im Youtube




What Is The Maximum Of Re Z Im Z Mathematics Stack Exchange




Chapter 2 Complex Numbers 3 Re Z 와 Im Z 의 성질 네이버 블로그



If Re Z 1 2z I 1 Where Z X Iy Then The Point X Y Lies On A Sarthaks Econnect Largest Online Education Community




Solved Using The Complex Numbers Z A Bi And W C D Chegg Com




Rez Plz Nintendo Switch Download Software Games Nintendo




Rez Wikipedia



Czesc Rzeczywista I Urojona Liczby Zespolonej




X2 T01 11 Locus Complex Nos 2 12




What Is The Maximum Of Re Z Im Z Mathematics Stack Exchange



Komplexe Zahlen Rechenregeln Zeigen Re Z 1 2 Z Z Quer Mathelounge




Rez Infinite




Let A B C Be Three Sets Of Complex Numbers As Defined Below




What Is The Maximum Of Re Z Im Z Mathematics Stack Exchange
/cdn.vox-cdn.com/uploads/chorus_asset/file/21953323/Rez_Infinite_Area3.png)



Rez Infinite Is Still A Vr Classic On The Oculus Quest The Verge




Rez Playstation 2 Kopen Nedgame




Novio Liam Fontein 36x18cm1x Kr Gt Re Z Overloop Quartz Zwart Quartz Zwart Priggo Nl




Re Wolfram Language Documentation




Rez Infinite Review Vernietig Virussen In Virtual Reality Xgn Nl




Rez Plz Nintendo Switch Download Software Games Nintendo




Complex Analysis Proof Z Conjugate Z 2 Re Z Youtube




If Re Z 1 Z 1 0 Where Z X Iy Is A Complex Number Then Wh




Pin On Re Z
0 件のコメント:
コメントを投稿